1. Dagui Wang, Pengcheng Gao, Mengmeng Zheng, Zhijuan Duan*, Dehui Wang, Defang Ding*, Fan Xia, Mechanically durable plant-based composite surface towards enhanced antifouling properties, Journal of Colloid and Interface Science, 2025, 679, 457-466.

2. Shijun Lin, Yiheng Liu, Jingjing Hu*, Fan Xia, Xiaoding Lou*,Towards effective functionalization of nanopores/nanochannels: the role of amidation reactions, Chem. Commun., 2025, 61, 1978-1988.

3. Shijun Xu†, Yu Ouyang†, Yunlong Qin†, Danlong Chen, Zhijuan Duan, Dongxing Song*, Daniel Harries, Fan Xia*, Itamar Willner* and Fujian Huang*, Spatiotemporal dynamic and catalytically mediated reconfiguration of compartmentalized cyanuric acid/polyadenine DNA microdroplet condensates, Nature Communications, 2025, 16, 3352.

4. Xin Lei, Jiayan Zhang, Hao Hong, Zewen Liu, Yu Huang, Fan Xia, Liang Mao, Lei Jiang, Ultrahigh-Performance Osmotic Power Generation in Gate-Controlled Nanopores, Advanced Functional Materials, 2025, 2500989.

5. Jinjin Che, Hongjian Gong, Axiu Yang, Yu Gao, Cheng Zhong, Dugang Chen*, Xiaoding Lou, Fan Xia, Jun Dai*, Asymmetric D–A–D′ Ratiometric Molecule for Highly Specific Hypochlorous Acid Detection, Analytical Chemistry, 2025, 97, 11, 6230-6239.

6. Jing-Jing Hu, Niya Lin, Lizhen Yuan, Xiaoding Lou, Fan Xia*, Detection of Analytes with the Outer Surface of Solid-State Nanochannels: From pm to μm, Accounts of Chemical Research, 2025, 58, 6, 834-846.

7. Chunxiao Liang, Dianyu Wang, Zhe Xu, Haitao Deng, Fan Xia, Ye Tian*, Dynamic liquid film nanochannels for adjustable ion and molecule transport, Nano Research, 2025, 18, 94907256.

8. Wenjing Chu, Mengyu Yang, Zhiwei Shang, Jing Zhao, Yuling Xiao, Jing Pan, Xiaoqing Yi, Meihua Lin*, Fan Xia, Machine Learning Assisted Nanofluidic Array for Multiprotein Detection, ACS Nano, 2025, 19, 9, 8539-8551.

9. Jing Zhao, Yuling Xiao, Mengyu Yang, Xueqin Luo, Zhiwei Shang, Wenjing Chu, Huageng Liang, Xiaoqing Yi, Meihua Lin*, Fan Xia, Agarose Gel-Coated Nanochannel Biosensor for Detection of Prostate-Specific Antigen in Unprocessed Whole Blood Samples, Small, 2025, 11, 2409966.

10. Peijia Li, Zhaoxiang Lu, Yilin Wang, Yixiao Wang, Fan Xia, Yun Feng*, Ye Tian*, Enhancing Stability in Biological Fluids: The Role of Ion-Induced Water Structuring in Artificial Tears, Nano Letters, 2025, 25, 9, 3524-3531.

11. Man Zhu, Chongyu Xie, Fan Xu, Shaoguang Li, Hui Li*, Fan Xia, Exploring Differential Electron Transfer Kinetics of Electrochemical Aptamer-Based Sensors to Achieve Calibration-Free Measurements, ACS Sensors, 2025, 10, 2, 1105-1112.

12. Zhicheng Zhang, Haiyang Li, Ning Zhou, Zhi Zheng*, Tianyou Zhai, Fan Xia, Xiaoding Lou*, Protein Detection Based on Field-Effect Transistor Biosensors for Diagnosing Diseases, Analytical Chemistry, 2025, 97, 4, 1951-1959.

13. Linfeng Chen*, Fan Xia*, Quantum ion coherence in biological ion channels, Science China Materials, 2025, 68, 1307-1308.
14. Jiang Xue Dong, Kai Xiao, Xiao Li Wu, Zhi Ying Zhong, Hao Yun Yuan, Shi Gang Shen, Ming Su, Na Li*, Zhong Feng Gao*, Fan Xia, High quantum yield copper nanoclusters integrated with nitrogen-doped carbon dots for off-on ratiometric fluorescence sensing of S2- and Zn2+, Talanta, 2025, 286, 127565.

15. Xueting Sun, Xiaojin Zhang, Tingting Cao, Suqing Huang, Yu Dai*, Fan Xia, Outer-surface covering of nanochannels with hydrogel for anti-protein-interference on the ion current, Talanta, 2025,285, 127367.

16. Qitao Zhou*, Wenxia Xu, Liang Wang, Suqi Wang, Jing Pan, Yimin Fang, Huageng Liang, Caofeng Pan*Fan Xia*, Triboelectric Nanogenerator-Based Self-Powered Urinary Protein Detection Utilizing Triboelectric Material with Colorimetric Function, ACS Nano, 2025, 19, 1, 1566–1576.

17. Xiaojin Zhang, Haowen Cai, Tiantian Hu, Meihua Lin, Yu Dai*, Fan Xia, DNA-Functionalized Solid-State Nanochannels with Enhanced Sensing, Accounts of Materials Research, 2025, 6, 3, 285-293.

18. Xiaolu Li, Yuanbao Wu, Hansong Cheng, Jiaguo Yu, Linfeng Chen*, Fan Xia, Scalable fabrication and integration of biomimetic nanofluidic photoreceptors, Explora: Environment and Resource, 2025, 025120022.
19. Jiantong Dong, Fan Xia*, Fujian Huang*, and Itamar Willner*, Dynamic Transcription Machineries in Protocells, J. Am. Chem. Soc. 2025, 147, 18359–18373.

20. Yu Ouyang, Yang Sung Sohn, Xinghua Chen, Rachel Nechushtai, Eli Pikarsky, Fan Xia, Fujian Huang*, and Itamar Willner*, Adenosine-Triggered Dynamic and Transient Aptamer-Based Networks Integrated in Liposome Protocell Assemblies, J. Am. Chem. Soc. 2025, 147, 19282–19295.

21. Yunlong Qin, Yang Sung Sohn, Rachel Nechushtai, Fan Xia, Fujian Huang*, and Itamar Willner*, Enzyme- and DNAzyme-Driven Transient Assembly of DNA-Based Phase-Separated Coacervate Microdroplets, J. Am. Chem. Soc. 2025, 147, 16141−16153.

22. Hong Liu†, Jiantong Dong†, Renzhi Wu†, Jun Dai,* Xiaoding Lou, Fan Xia, Itamar Willner,* and Fujian Huang*, Light-Triggered CRISPR/Cas12a for Genomic Editing and Tumor Regression, Angew. Chem. Int. Ed. 2025, e202502892.

23. Danlong Chen, Yunlong Qin, Shijun Xu, Fan Xia, Itamar Willner, and Fujian Huang*, Phototriggered RNase H-Powered Patterning of Caged DNA/RNA-Functionalized Interfaces Using DNA-Modified Particles, Liposomes, and Cells as Rolling Motors, Small 2025, 2506270.

24. Jiafu Shen, Yu Dai, Fan Xia, Xiaojin Zhang*, P-N Series Integrated Ionic Thermoelectric Generator Based on Cation/Anion-Selective Hydrogels for Body Heat Harvesting, Small, 2025, 21, 2502884.

25. Xujie Su, Martins Lateef Yusuf, Xinyue Guo, Jiamei Liu, Shiming Fan, Shaoguang Li, Hui Li*, Fan Xia, Recent Advances of Nucleic Acids-Based Nanopipette: From Fundamental to Applications, Anal. Chem. 2025, 97, 20, 10503-10520.

26. Lingxiao Liu, Defang Ding, Cihui Luo, Xugang Wang, Ye Tian, Shao-Chuang Liu, Xiaoding Lou, Yu Huang*, Liang Mao, Fan Xia, Nanochannels with Varied Outer Surface Charges for Protein Discrimination, Anal. Chem. 2025, 97, 20, 10792-10801.

27. Liang Chen, Peiyan Shen, Xueqin Luo, Yang Liu, Qiujiao Du, Qun Ma*, Fan Xia*, Space charge-enhanced ion permselectivity of nanofluidic membranes for ionic power harvesting, Mater. Chem. A, 2025,13, 32187-32196.

28. Jing-Jing Hu#, Ying Chen#, Xiaoding Lou, Fan Xia, Xiaofeng Wu,* Juyoung Yoon*. Recent strategies for developing membrane-targeting photodynamic therapy. Coord. Chem. Rev. 2025, 532, 216526.

29. Zhijuan Duan, Gangping Lian, Chong Duan, Xiaoding Lou, Fujian Huang*, Fan Xia*, Comprehensive review of protein imaging with AIEgens conjugated probes: From concentration to conformation, Biosensors and Bioelectronics, 2025, 270, 116979.

30. Yanlei Li, Zhongfeng Gao*, Yu Du, Yujie Han, Xiang Ren, Dan Wu, Hongmin Ma, Huangxian Ju, Fan Xia, Qin Wei, and Fuan Wang*, Locked Nucleic Acid-Enhanced Entropy-Driven Amplifier Combined with Catalytic Hybridization Reaction-Based DNA Circuit for Dual Amplified Detection of Single Nucleotide Polymorphisms and Asymmetric Encryption of Gene Information, Analytical Chemistry, Anal.Chem. 2025, 97, 8506−8515.

31. Jiangxue Dong, Jingjing Wang, Yufan Zhang, Tianyi Lu, Yajie Fan, Yanlei Li, Hongyuan Yan, Shigang Shen, Qun Ma, Zhongfeng Gao*, Qin Wei, Fan Xia, Synergistic Effects of Hydrophobicity and Negative Charge on the Nanopore Surface for the Dual-Amplified Iontronic Detection of MicroRNA, ACS Sens. 2025, 10, 5217−5226.

32. Saimei Zhang, Jiangxue Dong, Yanping Zhao, Congcong Wang, Yajie Fan, Yanlei Li, Ming Su, Na Li, Shigang Shen, Zhongfeng Gao, Fan Xia, Tunable Detection of MicroRNA-21 in Cancer Cells Using a 3D DNA Walker Mediated by Remote Toehold Strand Displacement Reaction, Anal.Chem. 2025, 97, 19119−1912.

33. Zexu Chen, Jiangxue Dong, Saimei Zhang, Jingjing Wang, Xiaochen Yang, Shigang Shen, Zhongfeng Gao*, Qun Ma, Fan Xia, Ultra-sensitive solid-state nanochannel electrochemical biosensor based on interfacial charge density modulation and signal synergistic amplification for microRNA-155 detection, Biosensors and Bioelectronics, 2025, 289, 117910.

34. Na Li#, Zhoujian Pan#, Zihan Hao, Qun Ma, Yan Yan, Xin Sui, Yingqi Li, Yijing Liao, Xi Mai, Zhongfeng Gao*, FanXia, Ultrasensitive Nanofluidic Detection of 17β-Estradiol in Natural Water by DNA Circuit-Mediated Hyperbranched DNA Nanowire Dual-Signal Amplification, Environ.Sci. Technol. 2025, 59, 18082−18093.

35. Na Li, Qinghong Long, Fanglan Liu, Xi Mai, Xin Sui, Shigang Liu, Yanlei Li, Xinyuan Li, Zhongfeng Gao*, Yingqi Li, Fan Xia, Cheng Wang, Dual-functional DNA nanoribbon-templated copper nanoclusters synergistically activate NRF2/HO-1 pathway for synergistic oxidative stress mitigation, Journal of Colloid and Interface Science, 2026, 702, 138837.

36. Zhongfeng Gao, Qin Wei*, Fan Xia*, Revolutionizing per- and polyfluoroalkyl substance identification using nanopores: a leap towards environmental health at the single-molecule level, Science Bulletin, 2025, 70, 1186–1188 .

37. Meihua Lin, Mengyu Yang, Yuling Xiao, Jing Zhao, Zhiwei Shang, Xinyi Liu, Luping Wang, Jing Pan, Xiaoqing Yi, Xiaojin Zhang*, Fan Xia, Graphene Oxide Nanofluidic Ion Channels with Two-Gene Rolling Circle Amplification for Ultrasensitive and Specific Detection of SARS-CoV-2, Anal. Chem. 2025, 97, 22153-22163.

38. Meihua Lin, Jing Zhao, Xiaoqing Yi, Yuling Xiao, Zhiwei Shang, Lei Xu, Xin Lei, Jing Pan, Yu Huang*, Xiaojin Zhang, Fan Xia *, Role of the real first interface in regulating ionic signal of nanochannels, Nat. Commun. 2025, 16, 8360.

39. Lizhen Yuan, Liang Yang, Wen Song, Haoyang Song, Jing-Jing Hu*, Xiaoding Lou*, Fan Xia, Juyoung Yoon*, Photochemical Generation of Peroxynitrite: ConcurrentInhibition of Glycolysis and Glutamine Metabolism for Enhanced Metabolic Therapy, J.Am.Chem.Soc. 2025, 147, 32610−32624.

40. Wei Zhang#, Lizhen Yuan#, Rui Liu, Yanbo Jing, Shijun Lin, Hao Fang, Yuxuan Li, Xiaohui Zhang, Jun Dai, Tao Liu, Fan Xia, Xiaoding Lou*, A Covalent Self-Reporting Peptide Degrader Enables Real-Time Monitoring of Targeted Protein Degradation In Vivo, J.Am.Chem.Soc. 2025, 147, 27862−27875.

41. Xia Wu, Hao Zhang, Mingxuan Li, Xiaoding Lou, Fan Xia, Jun Dai*, Spatiotemporally Traceable Peptide Self-Assemblies for Mitochondrial-Specific Dysfunction, Anal. Chem. 2025, 97, 34, 18584–18592.

42. Ying Li, Jiaqiang Xiong, Hui Yu, Jingxin Wang, Meng Wu, Xiaoding Lou, Lei Zhou*, Fei Li*, Jun Dai*, Fan Xia*, Natural Cell-Inspired Nanoparticles: Preparation, Mechanisms, Applications, and Prospects for Clinical Translation, Advanced Materials, 2025, https://doi.org/10.1002/adma.202505187.

43. Quan Wang, Lili Yang, Xiaoyu Xing, Wenjie Liang, Renzhi Wu, Chen Xiong, Meng Wu, Cheng Zhong, Haoke Zhang, Shixuan Wang, Fan Xia, Xiaoding Lou, Dugang Chen*, Jun Dai*, Regio-isomerization Optimization Strategy for Photosensitizers: Achieving Ultrahigh Type I Reactive Oxygen Species Generation to Enhance Cancer Photoimmunotherapy, J. Med. Chem. 2025, 68, 6, 6431–6449.

44. Yu Zhao,# Yuqing Chen,# Yue Yu, Guolong Xing, Linfeng Chen, Fan Xia, and Teng Ben*, Symmetry-Shearing Chemistry Enabled Interdigitated 2D Covalent Organic Frameworks with Interlayer Mortise-and-Tenon Interlocks for Efficient Photocatalytic CO2 Fixation. J. Am. Chem. Soc. 2025, 147, 40319-40330.

45. Yuqian Nong, Qianqian Liu, Linfeng Chen*, A drop-printing strategy for low-stress, conformal bioelectronics. SCIENCE CHINA Materials 2025. https://doi.org/10.1007/s40843-025-3772-y.

46. Yanan Li, Hua Zheng, Lei Xu, Linfeng Chen*, Fan Xia, Yanlin Song, A biomimetic nanofluidic tongue for highly selective and sensitive bitterness perception. Journal of Materials Chemistry A 2025, 13, 31023-31033.

47. Yanan Li, Xiaolu Li, Chunshui Yang, Linfeng Chen*, Axially aligned COF membranes unlock high-efficiency osmotic energy harvesting. Matter 2025, 8, 102053.
48. Chenhao Ji, Rui Tian, Yanan Li, Dicky Pranantyo, Lihui Sun*, Linfeng Chen*, Fan Xia, Recent Progress in Polyamide Membranes: Strategies for Enhancing Ion-Sieving Performance. Advanced Materials Technologies 2025, 10, e00048.

49. Shiguo Fu, Xiaofeng Zhang, Kaixuan Wang, Linfeng Chen, Fan Xia, Yong Cui*, Yan Liu*, Synthetic control of chiral pore surfaces in covalent organic frameworks for enantioselective separation of chiral drugs, Science China-Chemistry 2025, 68, 3238-3246.

50. Lei Xu, Linfeng Chen*, Fan Xia, Bias-free iontronic memory sensors realize adaptive chemotaxis. SCIENCE CHINA Materials, 2025. https://doi.org/10.1007/s40843-025-3728-5.

51. Defang Ding, Bingquan Qi, Xueqin Luo, Jiaguo Yu, Hansong Cheng, Jian Jin, Lei Jiang, Yu Huang*, Fan Xia, Bioinspired Nanochannels: Environmental Separation and Sensing Applications, ACS Nano, 2025, DOI: 10.1021/acsnano.5c14828.

52. Yonghuan Chen, Xiuying Li, Xinru Yue, Weihua Yu, Yuesen Shi, Zilong He, Yuanfeng Wang, Yu Huang*, Fan Xia, and Fengyu Li*, Sub-femtomolar drug monitoring via co-calibration mechanism with nanoconfined DNA probes, Nat. Commun. 2025, 16, 1863.

53. Weiqi Zhang, Yonghuan Chen, Xiuying Li, Defang Ding, Yu Huang,* Fan Xia, and Fengyu Li*, Tunable Interlayer-Spacing Graphene Oxide Membrane: Efficient Osmotic Energy Conversion Toward Metal Recovery, Small 2025, e04362.

54. Yonghuan Chen, Xinru Yue, Yongtao Tang, Qi Zhu, Weihua Yu, Mengfan Luo, Yu Huang,* Liping Wen, and Fengyu Li*, Thrombin Nanochannel Logic Gate Inspired by BioMemory, Anal. Chem. 2025, 97, 6, 3220-3226.

55. WeiQi Zhang, Yu Huang*, Subnanometer channels in membranes: the rigorous ion checkpoint, Matter 2025, 8, 8, 102158.
56. Chengpai Peng#, Yan Ke#, Mengyao Wang, Boyou Wang, Jiahao Dong, Heng Deng*, Jing Pan*, Qitao Zhou*, Fan Xia. Dual-mode energy harvesting device based on evaporation-driven hydrovoltaic generator and triboelectric nanogenerator. Chemical Engineering Journal, 2025, 523, 168506.

57. Along Gao#, Boyou Wang#, Chengpai Peng, Xiali Yang, Man Zhang, Hanyue Liu, Jing Pan, Hai Zhu*, Qitao Zhou*, Fan Xia. Triboelectric charge-separable probes for potential single-droplet biochemical sensing. Nanoscale, 2025, 17(16), 10035-10042.

58. Jia-ni Wu, Changjiang Li, Zhujun Liu, Xiaolong Li, Jiarun Wang, Xiaoding Lou, Fan Xia, Jun Dai*, Tongbo Wu*, Photocontrolled dissociation and toehold-mediated strand displacement-based synergistic regulation of CRISPR-Cas12a, Nucleic Acids Research, 2025, 53, 20, gkaf1178.

59. Fei Li, Quan Wang, Tingting Wang, Chen Xiong, Ziling Chen, Hanzhi Ouyang, Xiaoding Lou, Fan Xia, Shixuan Wang, Meng Wu*, Jun Dai*, Elastin-like peptides for efficient and safe delivery of mRNA, J. Control. Release. 2025, 388, 114337.

60. Quan Wang, Chen Xiong, Xiaoyu Xing, Renzhi Wu, Jingxin Wang, Meng Wu, Fei Li, Shixuan Wang, Xiaoding Lou, Fan Xia, Jun Dai*, Mitochondrial Unfolded Protein Responsive Imaging and Surgical Navigation in Ovarian Cancer, Chem. Biomed. Imaging 2025, https://doi.org/10.1021/cbmi.5c00075.

61. Xia Wu, Hao Zhang, Mingxuan Li, Fan Xia, Xiaoding Lou*, Recent Progresses of Peptide Fluorescent Probes for Protein Analysis in Living Cells, ACS Materials Lett. 2025, 7, 7, 2524–2533.

62. Meijing Li#, Yu Zheng#, Zixuan Zhang#, Quan Wang, Xiyuan Dong, Zhe Xu, Fayun Ma, Zujin Zhao, Xiaoding Lou, Jun Dai*, Kezhen Li*, Shijie Zhen*, Ben Zhong Tang*, Alkyl side-chain engineering enables significant suppression of conformational relaxation for improved near infrared-II imaging-guided uterine recanalization surgery and cancer phototheranostics, Materials Today Bio, 2025, 32, 101876.

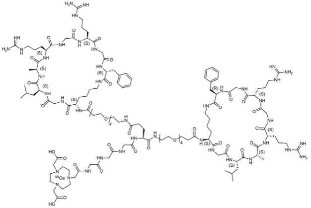
63. Xi Chen*, Fei Li*, Yao Si, Liping Han, Xiaoding Lou, Ling Xi, Jun Dai, First evaluation of [68Ga]Ga-NOTA-(TMVP1)2 for imaging VEGFR-3 in ovarian cancer patients. Am. J. Nucl. Med. Mol. Imaging, 2025;15, 65-73.

64. Xiao Liu, Ziyang Zheng, Pei Liu, Zheng Yang, Hao Hu, Meng Wu, Xiaoding Lou, Fan Xia, Kaixiong Tao, Longjie Li*, Jun Dai*, Xianjin Xiao*, Deep convolutional and fully-connected DNA neural networks, Nature Communications, 2025, 16, 10629.


